PiMath.de

Probabilities in the Galaxy

 

A Distribution Model for habitable Planets

Copyright © Klaus Piontzik
 German Version    
German Version    

13.2.1 - Differentiation for design options

A further refinement can be made to the probability of the shape.

The shape depends on r requirements.
That is, they form the set R of possible shapesg>
Then each element contributes to the overall probability. This part is:

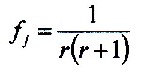
13.2.1.1 Equation Equation fj

It is: 0 <j < r + 1

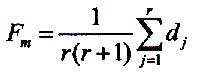
The following applies to the overall probability of the design options:

13.2.1.2 Equation Equation Fm

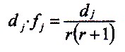
A differentiation of the individual components is achieved by weighting the individual elements..


13.2.1.3 Equation Equation df

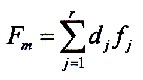
Then the probability of the possible shapes is:


13.2.1.4 Equation Equation Fm

Overall, the probability of design options is as follows:


13.2.1.5 Equation Equation Fm

Equation 13.2.1.5 is the most general approach that can be made, for an arbitrary set R of design possibilities that can still be weighted in their influence by the dj.

In a first approach it is assumed that all parts have the same effect, so the weighting factors are all one, so equation 13.2.1.2 applies.

13.2.1.6 Approach The weighting factors are set equal to one
d1 = d2 = ... = dj = ... = dn = 1


Here are 6 components that represent structural possibilities.
The following applies to the individual probability: fj = 1:42

Therefore, 6 other possible shapes can also occur.
The chance of a humanoid shape being created is therefore 1 in 7. This corresponds to a proportion of 14,28 %.
The probability factor of a humanoid shape is therefore Fm = 0,1428... = 1:7.

This approach is used as the basis for the calculations in all following considerations.

 

 zur vorherigen Seite zurück home weiter  zur nächsten Seite


 Probabilities in the Galaxy

buying on Amazon

176 sides, of them 64 in Color
76 pictures
11 tables


Production and publishing:
Books on Demand GmbH, Norderstedt

ISBN 9-783-7528-5524-1

Price: 22 Euro
     


The Autor - Klaus Piontzik