The age of the
universe is given today at approximately 13.8 billion
years. About 600 million years later, our galaxy, the
Milky Way, was born. Therefore, according to the current
state of knowledge, the age of our galaxy is 13.21
billion years.
It took another 8.7 billion years for our solar system to
develop. The age of the solar system and the earth is
therefore about 4.5 billion years.
It took another 500 million years to develop life. The
emergence of life on earth is about 4-5 billion years
back. If "life" takes about half a
billion years to develop on a planet, then the first
civilizations may have appeared in our galaxy about 12.7
billion years ago. Since then, thousands of technological
civilizations have emerged and may have passed. It is
therefore probable that even today a high-tech
civilization exists in the galaxy that has existed for
several hundred thousand years. We would therefore still
be young compared to these other, older civilizations.

The development history of an intelligent species, from
the origin of the species to high-tech civilization, can
be divided into the following level of development or civilization
levels:
| |
|
| 0 |
Prehistoric Level
(duration 20 - 25 million years)
Splitting the old world apes into human and
guenon relatives about 23 million years ago
Splitting of the apes and gibbons 15 million
years ago
Separation of the chimpanzees from the hominini
5.2 million years ago
Australopithecus 3.5 - 1.8 million years ago
Upright walk
|
| |
|
| 1 |
Pre
Level (duration 2.5 - 3.5 million years)
2.5 1.5 million years Homo
rudolfensis, Homo habilis
2 1.5 million years Homo erectus
Origin of the species, Stone Age
first stone tools about 2.5 million years ago |
| |
|
| 2 |
Development Level (duration
300,000 - 350,000 years)
Neanderthals 250,000 - 30,000 BC
340,000 years - oldest Homo sapiens find
Origin of the species, gatherers and hunters,
Stone Age |
| |
|
| 3 |
Primitive Level (duration
30,000 - 40,000 years)
Stone Age, works of art, agriculture, settlements
First megalithic structures - Göbekli Tepe -
9600 - 8000 BC |
| |
|
| 4 |
Ancient Level (duration
5,000 - 6,000 years)
Bronze Age, Iron Age, metals, cities, trade
Megalith culture 5000 - 2800 B.C.
Stonehenge 3100 - 1600 B.C.
Ancient races - Sumerians, Egyptians, Hittites,
Cush, Minoans, Babylonians, Greeks, Romans,
Chinese, Indians, etc. |
| |
|
| 5 |
Intermediate Level (duration
1,300 - 1,500 years)
Book printing, developments in science, art,
medicine
End of Antiquity, Middle Ages, Early Renaissance |
| |
|
| 6 |
Technological Level
(duration 350 - 450 years)
Renaissance, Baroque, Rococo, Enlightenment
Modernity, Modernity
Physics, Chemistry, Electrical Engineering,
Aerospace |
| |
|
| 7 |
Planetary Level (1969 -
Lunar Landing, 2009 - ISS Space Station)
Postmodernity, colonization of the solar system |
| |
|
| 8 |
Interstellar Level
Interstellar space travel in a galaxy |
| |
|
| |
Other level of development
are conceivable, such as: |
| |
|
| 9 |
Galactic Level
Space traveling between galaxies |
| |
|
| 10 |
Cosmic Level
Travelling in the Universe or Multiverse
|
However, it cannot be decided whether levels 9 and 10 are
possible at all. It can also be assumed that such a level
of development should lie far outside our present
conceptual capacity and probably also occurs very rarely
in the universe, so that only individual cases are to be
expected here.
Since the first eight steps form a logical
development chain and can be more or less empirically
proven, these steps will serve as a basis for the next
considerations.
An interesting conclusion can be drawn from the durations
of human development levels, i.e. from level 2. To do
this, you must first display the duration of a
development level as a function of the development level
| Empirical |
Level |
| |
|
| 300,000 |
2 |
| 30,000-40,000 |
3 |
| 5,000-6,000 |
4 |
| 1,200-1,500 |
5 |
| 300-400 |
6 |
| Since 45
years |
7 |
An approximation function can be determined with a table
program (e.g. Excel). It therefore applies approximately
for the duration of a development stage:
| 6.1.1 Equation |
 |
m >
1 |
You can enter all values of the development level
function in a table to get a better overview:
| Empirical Level |
Level |
Function |
rounded |
| |
|
|
|
| 300,000 |
2 |
312,500 |
310,000 |
| 30,000-40,000 |
3 |
27,434 |
28,000 |
| 5,000-6,000 |
4 |
4,882 |
5,000 |
| 1,200-1,500 |
5 |
1,280 |
1,300 |
| 300-400 |
6 |
428 |
430 |
| Since 45
years |
7 |
169 |
170 |
| |
8 |
80 |
|
The function is illustrated in the following two
illustrations.

The relationship becomes more apparent when one
logarithms the time axis.

For level 7, the
planetary level, according to the calculation, a period
of 170 years is needed. Since humanity only about 50
years ago, by the moon landing, the seventh level has
climbed, so we will still need about 120 years until we
start to operate interstellar space travel.
So we won't have interstellar space travel until the 22nd
century. With a development span of 80 years, i.e. to
master interstellar space travel, the following
predictions can be made for level 8:
| 6.1.2 Theorem |
The 22nd century could be
the century of interstellar space travel for
mankind. |
If in the 22nd century mankind is engaged in interstellar
space travel and can convince itself of the conditions.
As a result, all probability factors for the distribution
of planets, life, intelligence and civilization that are
being developed here will be determined with sufficient
accuracy within the next two centuries.
Thus, the model developed here also transforms into a
simple, empirical distribution model with regard to
habitable planets, life, intelligence and civilizations
in our galaxy.
In this respect, all derived parameters can or will be
empirically verifiable in principle. Therefore the whole
model is falsifiable and meets Popper's requirements.
If equation 6.1.1 is applied to the first stage of
development, we obtain 20 million years. If one compares
this with the evolution of man, the following facts
result:
The oldest species of the genus Homo are Homo rudolfensis
and Homo habilis. All known finds of Homo habilis were
dated to an age of about 2.1 to 1.5 million years. The
finds of Homo rudolfensis surrendered to 1.9 million
years.
At 20 million years, the function for the development
levels delivers a much higher value than the empirical
data. Therefore, the original evel of the function is
specified here with m > 2.
But one could also consider that the preliminary level of
humanity took much longer than previously assumed.
With the given data, a review of the development levels
can be made. One can compare the times given by the
development level function with the empirical conditions.
The moon landing in 1969 means the entry into level
7, the planetary stage. With the construction of
the International Space Station ISS 2009, the satellites
to the asteroids and Mars, the planned Mars landings and
the upcoming commercial use of space, we are on the best
way to expand in the solar system. What corresponds to
the "planetary level".
The beginning of level 6, i.e. the
technological stage, lies 430 years earlier at 1539 or is
therefore to be put into the 16th century.
The discovery of America by Christopher Columbus did not
take place until 1492. Vasco Da Gama found the sea
route to India in 1498. 1519-1521 Fernando Magellan
made his circumnavigation and Francis Drake repeated
this from 1577-1580. The 16th century is also
sometimes referred to as the century of discoveries.
Around 1600, half of the earth's surface is known, but
only part of the land area.
The thesis attack in Wittenberg, at which Martin Luther
published his 95 theses, is said to have taken place in
1517. Galileo Galilei lived from 1564-1642 and
through Johannes Kepler (1571-1630) the first scientific
explanation of the solar system existed.
The seafaring achievements of that time promoted
technology in shipping. With Galileo's telescope 1608
and 1595 by the lens makers Hans and Zacharias Janssen
with the microscope, new technological applications
arose. Kepler's planetary theory was also the basis for
further developments.
The period from the 15th to the 16th century is also
called Renaissance, which means rebirth. The Renaissance
is regarded as a European cultural epoch, in the period
of upheaval from the Middle Ages to modern times.
The Renaissance thus represents the transition from level
5 to level 6.
Therefore, the 16th century can be seen as a turning
point at which humanity has begun the 6th level of its
evolution towards a technological development.
The beginning of level 5 is again about
1300 - 1500 years earlier than at stage 6, i.e. at 200 to
0, i.e. about the turn of time.
The turn of time thus represents the transition
from level 4 to level 5. In European history,
the Middle Ages marked the period between the end of
antiquity and the beginning of modern times, i.e.
approximately the period between the 6th and 15th
centuries. This fits in well with the
"intermediate level"
The beginning of level 4 is again about
5000 years earlier than at stage 6, i.e. at 5000 BC. This
includes the Bronze Age (2200 to 800 BC) as well as
the Iron Age (from 1200 BC). Here one also finds the
ancient races, like Sumerians, Egyptians, Hittites, Cush,
Minoans, Babylonians, Greeks, Romans, Carthaginians,
Israelites, Chinese, Indians etc. This fits in well
with the "Ancient Level".
The beginning of level 3 is again about
28,000 years earlier than in stage 4, i.e. 33,000 BC. The
date of the beginning of agriculture is around 11,000
B.C. The oldest settlement finds date from the same
period.
The first ceramic figures can be dated to at least 29,000
years. About 35,000 years ago, cave painting was
developed in southern France. The earliest finds of ivory
carvings of figurines in Europe date from this period.
The oldest evidence of a bone flute is also dated about
35,000 years. This fits in well with the
"primitive level.
The beginning of level 2 is again about
310,000 years earlier than at stage 3, i.e. at 343,000
BC. It's a good match with the oldest finds of Homo
sapiens.
This results in a good overall agreement between the
development level function and the empirical data. Which
raises the question of how long it took humanity as a
whole to develop. The sum of all development times TM from level 2 results:

Then TM
is the average development time or life
span of a civilization.
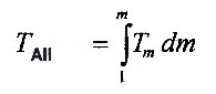
Another way to determine the development time of a
civilization is to calculate the area under the time
function Tm,
which corresponds to the total time of a civilization.
So you have to form the integral over the time function
to get the total time span. The total development time of
a civilization corresponds to the integral over the time
function of a civilization.
.
| 6.1.3 Equation |
 |
#
TAll
= 2/5 ˇ 107 ˇ (1-5 8-5)
TAll= 3,999,877.93 years
That is almost 4 million years for the total development
period of a civilization, from the preliminary level to
interstellar space travel. This is quite in line with the
empirical data. If you take the time from level 2 to
level 8, i.e. the time of purely human development, then
the following applies:
THomo = 2/5 ˇ 107 ˇ (2-5
8-5) = 124,877.92 years
This is the minimum development time for an intelligent
species from the primitive level to technological
civilization.
Then it is to be expected that a civilization will exist
2-3 times longer, i.e. between 250,000 and 375,000 years.
This could then be understood as the average life
span of a civilization.
The sum of all development times Tm gives &sum Tm = 342,980 years. Compared
with the empirical 300,000 - 350,000 years that humans
have needed, there is a good consensus here..
The time for prepress is the difference between the total
time and the minimum development time. The preliminary
level thus took 3.875 million years, which is roughly in
line with the empirical data.
The development stage function presented so far was
determined by an approximation. This approximation is not
the only solution function. Another possibility is
presented here, which also includes level 1:
| 6.1.4 Equation |
 |
m >
0 |
| |
|
|
| |
|
|
| |
|
|
| Empirical Level |
Level |
Function |
rounded |
| |
|
|
|
| 3,000,000 |
1 |
2,840,649 |
2,840,000 |
| 300,000 |
2 |
255,001 |
260,000 |
| 30,000-40,000 |
3 |
33,844 |
34,000 |
| 5,000-6,000 |
4 |
6,233 |
6,200 |
| 1,200-1,500 |
5 |
1,510 |
1,500 |
| 300-400 |
6 |
460 |
460 |
| Since 45
years |
7 |
170 |
170 |
| |
8 |
74 |
75 |
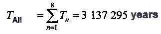
The total of all development times Tn:

This
fits in well with the empirical data on the emergence of
Art Homo. The oldest discovery dates back about 2.5
million years.
The sum of all development times Tn from level
2, i.e. the average development time, is added up:

This
also agrees quite well with the empirical data on the
development of Homo sapiens. The oldest find dates back
340,000 years.
However, the integral cannot be formed here. There is no
default function for Tn
Tn differ slightly from the
previous time spans Tn. However, the deviations
are so small that they have no influence on the previous
considerations and results, as well as the resulting
rates.
With the developmental model and the associated
functions, an effective tool is now available to describe
and classify the development of a civilization and to
clarify the question of the life span of a civilization.
|