| Further refinement can be made to the probability of development obstacles. 
 Life depends on q  planetary conditions.
 That is, they form the set Q  of obstacles to development.
 Then each element contributes to the overall probability. This part is:
 
 
 
            
                | 7.1.1 Equation |   |  Es ist: 0 <
        j < q + 1
 
 
 Es gilt dann für die It then applies to the overall probability of development obstaclese:
 
 
 
            
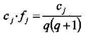
                | 7.1.2 Equation |  |  A differentiation of the individual components is achieved by weighting the individual elements.
 
 
 
            
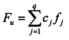
                | 7.1.3 Equation |  |  Then the probability of development obstacles results:
 
 
 
            
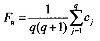
                | 7.1.4 Equation |  |  Overall, the likelihood of development obstacles is as follows:
 
 
 
            
                | 7.1.5 Equation |  |  Equation 
		
		7.1.5 is the most general approach that can be made for an arbitrary set  
		Q of development obstacles,  that can still be weighted in their influence by the cj
 In a first approach it is assumed that all parts 
		have the same effect, so that the weighting factors are all one, 
		so Equation 7.1.2 applies.
		 
 
 
            
                | 7.1.6 Approach | The weighting factors are set equal to one c1
                = c2
                = ... = cj
                = ... = cn
                = 1
 |  Here are 5 components that represent obstacles to development.
 The following applies to the individual probability: fj = 1:30
 
 Therefore, 5  failures can also occur.
 SThe chance of development occurring is therefore 1 in 6. 
		This corresponds to a share of  16,66%.
 The probability factor for development is therefore Fu = 0.166... = 1:6.
 
 This approach is used as the basis for the calculations in all following considerations.
 |